Skewness of Returns – Left Skewed Vs Right Skewed

What is Skewness?

Skewness is a statistical measure that describes the asymmetry of a distribution of returns. It indicates whether extreme outcomes tend to occur more frequently on the positive or negative side of the distribution.

In a perfectly symmetrical distribution, the left and right sides would mirror each other. In practice, however, real-world return data rarely behaves this neatly. Instead, one side of the distribution may have a longer or fatter tail.

For investors, skewness provides valuable information about tail risk, potential extreme outcomes, and how returns may behave in different market conditions. A positive skew indicates that unusually large gains occur more frequently than equivalent magnitude losses, where a negative skew indicates that extreme losses are more likely than equivalently extreme gains.

Key Learning Points

  • Skewness helps investors understand how the distribution of returns is shaped and whether extreme outcomes are more likely to occur on one side of the distribution
  • It allows investors to move beyond simple measures like mean return and volatility when assessing risk
  • Positively skewed investments tend to produce occasional large gains, while negatively skewed strategies more of a risk of significant drawdowns
  • Investors often favour strategies with positive skewness because they offer asymmetric payoff profiles, with the strategy benefiting from the possibility of large upside outcomes while limiting the probability of extreme losses

Skewness in Return Distributions

When analyzing asset returns, investors typically assess the distribution of historical returns to determine how frequently different levels of returns occur.

If returns followed a perfect normal distribution, they would be symmetrical around the mean. However, financial markets often produce return distributions that are skewed. This could be influenced by factors such as market crashes, sudden rallies, or asymmetric risk exposures. As a result, returns may have longer tails on one side of the distribution, leading to skewness.

Looking at skewness helps investors see the likelihood of extreme gains or losses. These tail risks are not always visible when analysing risk using volatility (or standard deviation) alone.

Types of Skewness

Return distributions generally fall into one of three skewness categories.

Positive Skewness (Right-Skewed Distribution)

A positively skewed distribution has a long tail on the right side of the distribution, which means that while most returns cluster around modest outcomes, there are occasional large positive returns that extend the distribution to the right. In a positively skewed distribution, most observations sit below the mean, and a small number of very large positive outcomes pull the average upward. As a result, the mean is typically greater than the median.

The key characteristics of positive skewness include:

  • A long right tail
  • Mean return greater than the median
  • Higher probability of large gains than large losses

Positive skewness suggests a structure where large upside events are possible, even if they occur infrequently. Examples of investments that may exhibit positive skewness include venture capital or early-stage technology stocks.

Venture capital portfolios often include many companies that produce modest or no returns. However, a small number of highly successful investments can generate outsized returns that create a positively skewed distribution. In such cases, investors may experience many small losses or modest gains, but occasional large successes can significantly increase overall returns.

Positive skewness is often attractive to investors because it implies relatively limited downside with potential for large upside outcomes.

Negative Skewness (Left-Skewed Distribution)

A negatively skewed distribution has a long tail on the left side of the distribution. This means that while most returns may appear stable or slightly positive, there is a higher probability of large negative outcomes that extend the distribution to the left, in comparison to a symmetrical distribution.

In this type of distribution, the majority of observations lie above the mean, while rare but severe losses pull the mean downward. As a result, the mean is usually lower than the median.

The key characteristics of negative skewness include:

  • A long left tail
  • Mean return is lower than the median
  • Greater probability of extreme losses

This is typically observed with investment strategies that are involved in selling options or certain hedge fund strategies.

Option-selling strategies collect regular option premiums and generate steady income, but a sudden market move against their position can produce large losses that erode previous gains.

Therefore, negatively skewed portfolios may appear stable for longer periods before experiencing sudden large drawdowns. For such strategies, investors should also analyse tail risk, not just the average returns or volatility.

Zero Skewness

A distribution with zero skewness is perfectly symmetrical, which means that:

  • the mean, median, and mode are equal
  • both tails of the distribution are identical
  • extreme positive and negative outcomes occur with equal probability

The normal distribution is a good example of a distribution with zero skewness. In a normal distribution, returns are evenly distributed around the mean, and large positive and negative deviations are equally likely.

Many traditional financial models assume that asset returns follow a normal distribution because it simplifies statistical analysis and risk modelling. Under this assumption, investors can estimate the probability of different outcomes using standard statistical techniques.

However, in reality, investment returns often exhibit non-zero skewness and fat tails, meaning extreme outcomes may occur more frequently than predicted by the normal distribution. As a result, experienced investors also consider skewness when evaluating investment strategies, as it provides additional insight into the asymmetry of potential gains and losses.

The chart below shows a comparison of the different skewness types. A negatively skewed distribution has a long left tail representing rare but severe losses, while a positively skewed distribution has a long right tail representing occasional large gains. A zero-skew distribution is symmetrical around the mean.
Skewness Distribution

(Click to Zoom)

Expert Instructor Tip: When analysing skewness, focus on which side of the distribution has the longer tail. Positive skewness indicates the potential for occasional large gains, while negative skewness suggests the risk of rare but severe losses. A zero-skew distribution is symmetrical, but in real financial markets, returns rarely behave this neatly.

Key Skewness Formulas

There are several statistical formulas that are used to calculate skewness. The most popular methods include the Fisher-Pearson coefficient of skewness and Pearson’s median skewness coefficient. These formulas estimate skewness using different statistical properties such as the mean, median, and standard deviation.

Sample Skewness (Fisher-Pearson)

This is one of the most widely used measures of skewness. Its formula is:

Skewness Distribution

Where:

  • n = number of observations
  • xi​ = individual observation
  • = sample mean
  • s = sample standard deviation

This approach measures the third standardized moment of the distribution. By cubing deviations from the mean, it captures the asymmetry of the distribution. Positive values indicate right skewness, while negative values indicate left skewness.

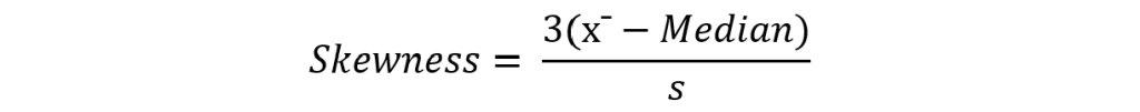
Pearson’s Second Coefficient (Median Skewness)

Another commonly used measure is Pearson’s second coefficient of skewness, also known as “median skewness”. The formula is:

Skewness Distribution

Where:

  • = mean
  • Median = median value
  • s = standard deviation

This method estimates skewness by comparing the mean and the median of the distribution. In a right-skewed distribution, the mean tends to be greater than the median, whereas the opposite is true for left-skewed distributions.

How to Calculate Skewness in Excel

Skewness Distribution

(Click to Zoom)
Skewness Distribution

(Click to Zoom)

Skewness vs Kurtosis in Stock Returns

Skewness is typically analysed alongside kurtosis, which is another statistical measure used to describe the shape of a return distribution. While skewness measures the asymmetry of a distribution, kurtosis measures the thickness of the tails and shows how frequently extreme outcomes occur relative to a normal distribution.

A distribution with high kurtosis has fatter tails, meaning that very large positive or negative returns occur more often than predicted by a normal distribution. In contrast, a distribution with low kurtosis has thinner tails and fewer extreme outcomes.

When analysed together, skewness and kurtosis provide a more complete evaluation of the behaviour of investment returns. Skewness helps identify the direction of potential extreme outcomes, showing whether large deviations are more likely to occur on the positive or negative side of the distribution. On the other hand, Kurtosis indicates how frequently extreme returns occur, regardless of direction.

Examining both allows investors better to assess the likelihood of unusually large gains or losses and determine whether a return distribution deviates from the normal distribution often assumed in financial models.

Expert Instructor Tip: Equity markets often show negative skewness and excess kurtosis, meaning returns are usually small but occasionally experience sharp declines. This is why investors should not rely solely on average returns or volatility – rare market shocks can produce losses much larger than a normal distribution would suggest. Understanding this helps investors better prepare for downside tail risk.

Example of Skewness in Investment Returns

Let’s consider two hypothetical investment strategies (as per the chart below) that both produce an average annual return of 8%.

  1. Strategy A generates consistent returns between 6% and 10%, but occasionally experiences a −30% loss during market stress.
  2. Strategy B produces modest returns most of the time but occasionally generates large positive returns of 40% or more.

Example of Skewness in Investment Returns

(Click to Zoom)

Although both strategies have similar average returns, their distributions differ significantly.

  1. Strategy A has negative skewness because extreme outcomes occur on the downside.
  2. Strategy B has positive skewness because extreme outcomes occur on the upside.

In this example, investors may favour strategy B, which produces a long right tail (and positive skewness, respectively), despite delivering similar annual returns.

What Causes Skewness in Returns?

There are several factors that can cause skewness in financial return distributions. The most common include:

  • Market crashes – financial markets occasionally experience sudden large declines, which can create negative skewness in stock returns. For example, events such as the 2008 global financial crisis or the sharp market drop at the start of the COVID-19 pandemic produced unusually large negative returns over short periods. These rare, but severe losses extend the left tail of the return distribution
  • Option-like payoffs – strategies involving options can create asymmetric return distributions because their payoff structures are inherently non-linear. For instance, investors who sell options often collect small premiums regularly but face the risk of large losses during significant market moves, leading to negative skewness. On the other hand, strategies that buy options may experience frequent small losses but occasionally generate large gains when markets move sharply, producing positive skewness
  • Structural market behaviour – market structure and trading dynamics can also create asymmetrical return patterns. Liquidity shocks, leverage, and investor behaviour can amplify market moves. For example, during periods of market stress, forced selling from leveraged investors or margin calls can accelerate price declines, producing large negative returns
  • Information shocks and macroeconomic events – unexpected news, such as central bank announcements, geopolitical events, or corporate earnings surprises, can trigger sudden market reactions. For example, an unexpected interest rate decision or a major geopolitical conflict may lead to sharp market movements, creating extreme returns that contribute to skewness in the distribution

Expert Instructor Tip: As discussed above, skewness in returns often arises from asymmetric market forces, such as crashes, leverage, or option-like payoff structures. When analysing an investment strategy, consider what market conditions could produce extreme outcomes on one side of the distribution, as these events often drive the skewness of returns.

Conclusion

To sum up, skewness is a common feature of financial return distributions. Although many traditional financial models assume normal distribution, real-world markets often display skewed and fat-tailed distributions. Assessing skewness allows investors to better evaluate risks that may not be visible through standard deviation alone.

Additional Resources

Portfolio Management Certification
Portfolio Management Interview Questions
Portfolio Optimization
Portfolio Performance
Portfolio Backtest